Упр.841 ГДЗ Мерзляк 8 класс (Алгебра)
Решение #1
Решение #2
Решение #3

Рассмотрим вариант решения задания из учебника Мерзляк, Полонская, Якир 8 класс, Вентана-Граф:
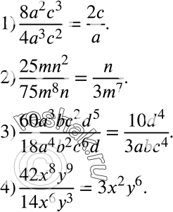
841. Сократить дробь:
1) 8a2c3/4a3c2;
2) 25mn2/75m8n;
3) 60a3bc2d5/18a4b2c6d;
4) 42x8y9/14x6y3.
*размещая тексты в комментариях ниже, вы автоматически соглашаетесь с пользовательским соглашением