Упр.846 ГДЗ Никольский Потапов 7 класс (Алгебра)
Решение #1
Решение #2

Рассмотрим вариант решения задания из учебника Никольский, Потапов 7 класс, Просвещение:
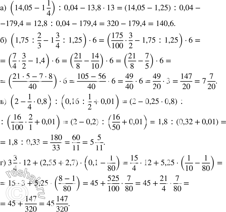
846 а) (14,05 - 1*1/4):0,04-13,8*13;
б) (1,75:2/3-1*3/4:1,25)*6;
в) (2-1/4*0,8):(0,16:1/2+0,01);
г) 3*3/4*12+(2,55+2,7)*(0,1-1/80).
*размещая тексты в комментариях ниже, вы автоматически соглашаетесь с пользовательским соглашением