Упр.851 ГДЗ Мерзляк 9 класс (Алгебра)
Решение #1
Решение #2

Рассмотрим вариант решения задания из учебника Мерзляк, Полонская, Якир 9 класс, Вентана-Граф:
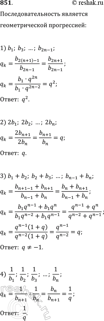
851. Последовательность (bn) является геометрической прогрессией со знаменателем q.
Является ли геометрической прогрессией последовательность:
1) b1, b3, ..., b(2n - 1);
2) 2b1, 2b2, ..., 2bn;
3) b1 + b2, b2 + b3, ..., b(n - 1) + bn;
4) 1/b1, 1/b2, ..., 1/bn?
В случае утвердительного ответа укажите знаменатель прогрессии.
*размещая тексты в комментариях ниже, вы автоматически соглашаетесь с пользовательским соглашением