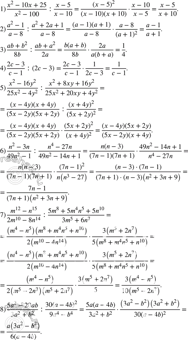
Упр.862 ГДЗ Мерзляк 8 класс (Алгебра)
Решение #1
Решение #2
Решение #3

Рассмотрим вариант решения задания из учебника Мерзляк, Полонская, Якир 8 класс, Вентана-Граф:
862. Выполните деление:
1) (x2-10x+25)/(x2-100) * (x-5)/(x-10);
2) (a2-1)/(a-8) : (a2+2a+1)/(a-8);
*размещая тексты в комментариях ниже, вы автоматически соглашаетесь с пользовательским соглашением