Упр.874 ГДЗ Дорофеев Суворова 7 класс (Алгебра)
Решение #1

Рассмотрим вариант решения задания из учебника Дорофеев, Суворова, Бунимович 10-11 класс, Просвещение:
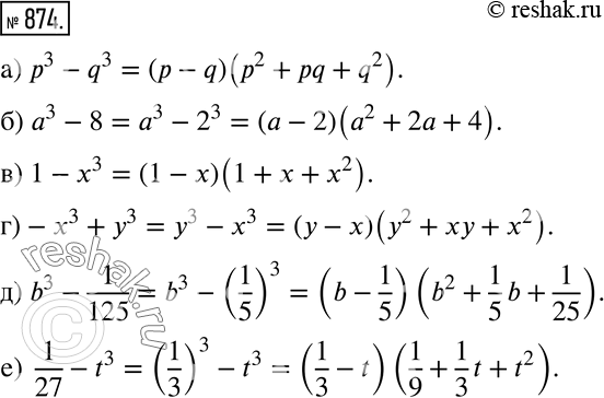
874 а) р3 - q3;
б) а3 - q3;
в) 1 - x3;
г) -x3 + у3;
д) b3 - 1/125;
е) 1/27 - t3.
*размещая тексты в комментариях ниже, вы автоматически соглашаетесь с пользовательским соглашением