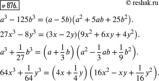
Упр.876 ГДЗ Дорофеев Суворова 7 класс (Алгебра)
Решение #1

Рассмотрим вариант решения задания из учебника Дорофеев, Суворова, Бунимович 10-11 класс, Просвещение:
876 РАССУЖДАЕМ Составьте выражения, которые можно разложить на множители с помощью формул суммы кубов или разности кубов, и выполните эти преобразования.
*размещая тексты в комментариях ниже, вы автоматически соглашаетесь с пользовательским соглашением