Упр.883 ГДЗ Дорофеев Суворова 7 класс (Алгебра)
Решение #1

Рассмотрим вариант решения задания из учебника Дорофеев, Суворова, Бунимович 10-11 класс, Просвещение:
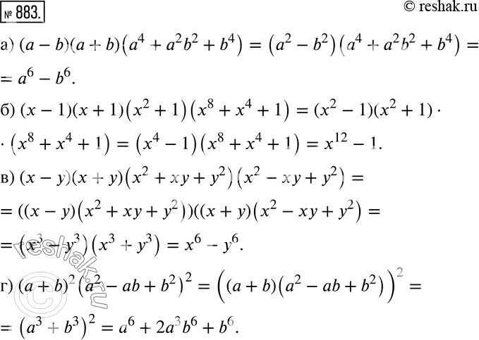
883 Представьте выражение в виде многочлена:
а) (а - b)(а + b)(а4 + а2b2 + b4);
б) (х - 1)(x + 1)(х2 + 1)(x8 + х4 + 1);
в) (х - у)(х + у)(х2 + ху + у2)(х2 - ху + у2);
г) (а + b)2(a2 - ab + b2)2.
*размещая тексты в комментариях ниже, вы автоматически соглашаетесь с пользовательским соглашением