Упр.890 ГДЗ Дорофеев Суворова 7 класс (Алгебра)
Решение #1

Рассмотрим вариант решения задания из учебника Дорофеев, Суворова, Бунимович 10-11 класс, Просвещение:
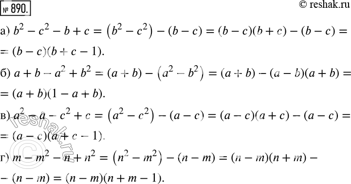
890 а) b2 - с2 - b + с;
б) а + b - а2 + b2;
в) а2 - а - с2 + с;
г) m - m2 — n + n2.
*размещая тексты в комментариях ниже, вы автоматически соглашаетесь с пользовательским соглашением