Упр.893 ГДЗ Дорофеев Шарыгин 6 класс (Математика)
Решение #1

Рассмотрим вариант решения задания из учебника Дорофеев, Шарыгин, Суворова 6 класс, Просвещение:
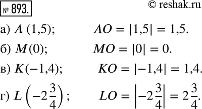
893. Используя знак модуля, запишите, на каком расстоянии от начала координат-точки О находится точка:
а) A(1,5);
б) М(0);
в) K(-1,4);
г) L(-2 3/4).
Образец. B(-2,7); BO = |-2,7| = 2,7.
*размещая тексты в комментариях ниже, вы автоматически соглашаетесь с пользовательским соглашением