Упр.896 ГДЗ Мерзляк 9 класс (Алгебра)
Решение #1
Решение #2

Рассмотрим вариант решения задания из учебника Мерзляк, Полонская, Якир 9 класс, Вентана-Граф:
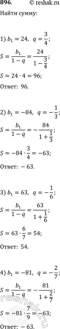
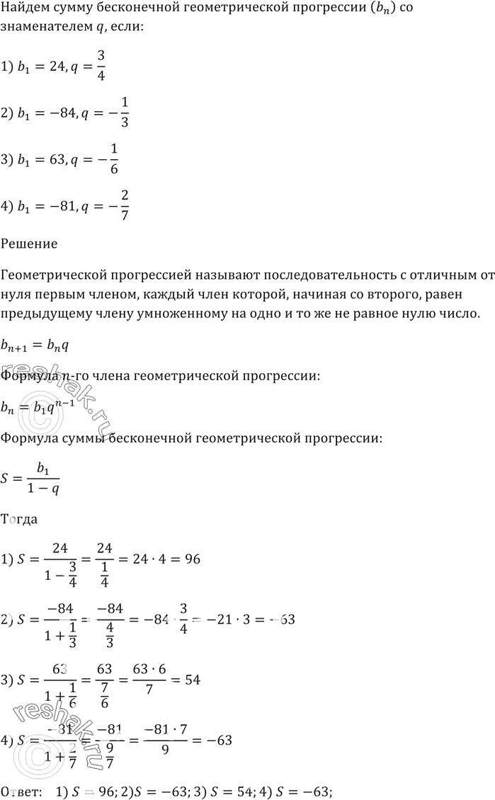
896. Вычислите сумму бесконечной геометрической прогрессии (bn) со знаменателем q , если:
1) b1 = 24, q = 3/4;
2) b1 = -84, q = -1/3;
3) b1 = 63, q = -1/6;
4) b1 = -81, q = -2/7.
*размещая тексты в комментариях ниже, вы автоматически соглашаетесь с пользовательским соглашением