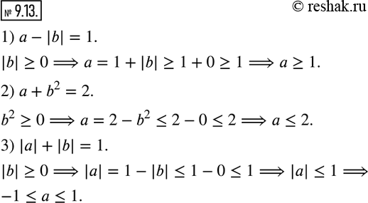
Упр.9.13 ГДЗ Мерзляк Поляков 8 класс (Алгебра)
Решение #1

Рассмотрим вариант решения задания из учебника Мерзляк, Поляков 8 класс, Вентана-Граф:
9.13. Оцените значение a, если:
1) a - |b| = 1; 2) a + b^2 = 2; 3) |a| + |b| = 1.
*размещая тексты в комментариях ниже, вы автоматически соглашаетесь с пользовательским соглашением