Упр.9.17 ГДЗ Мерзляк Поляков 9 класс (Алгебра)
Решение #1

Рассмотрим вариант решения задания из учебника Мерзляк, Поляков 9 класс, Вентана-Граф:
9.17. Решите неравенство:
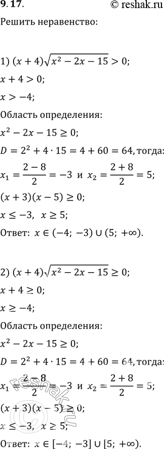
1) (x+4)v(x^2-2x-15)>0; 7) (x^2-1)v(x^2-4)?0;
2) (x+4)v(x^2-2x-15)?0; 8) (x^2-1)v(x^2-4)?0;
3) (x+4)v(x^2-2x-15)<0; 9) (x^2-5x+4)v(x^2-7x+10)<0;
4) (x+4)v(x^2-2x-15)?0; 10) (x^2-5x+4)v(x^2-7x+10)>0;
5) (x^2-1)v(x^2-4)<0; 11) (x^2-5x+4)v(x^2-7x+10)?0;
6) (x^2-1)v(x^2-4)>0; 12) (x^2-5x+4)v(x^2-7x+10)?0.
*размещая тексты в комментариях ниже, вы автоматически соглашаетесь с пользовательским соглашением