Упр.9.18 ГДЗ Мерзляк Поляков 9 класс (Алгебра)
Решение #1

Рассмотрим вариант решения задания из учебника Мерзляк, Поляков 9 класс, Вентана-Граф:
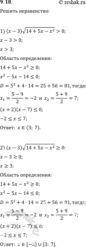
9.18. Решите неравенство:
1) (x-3)v(14+5x-x^2)>0; 7) (x^2-25)v(16-x^2)?0;
2) (x-3)v(14+5x-x^2)?0; 8) (x^2-25)v(16-x^2)?0;
3) (x-3)v(14+5x-x^2)<0; 9) (x^2-4x-5)v(x^2-5x+6)>0;
4) (x-3)v(14+5x-x^2)?0; 10) (x^2-4x-5)v(x^2-5x+6)<0;
5) (x^2-25)v(16-x^2)<0; 11) (x^2-4x-5)v(x^2-5x+6)?0;
6) (x^2-25)v(16-x^2)>0; 12) (x^2-4x-5)v(x^2-5x+6)?0;
*размещая тексты в комментариях ниже, вы автоматически соглашаетесь с пользовательским соглашением