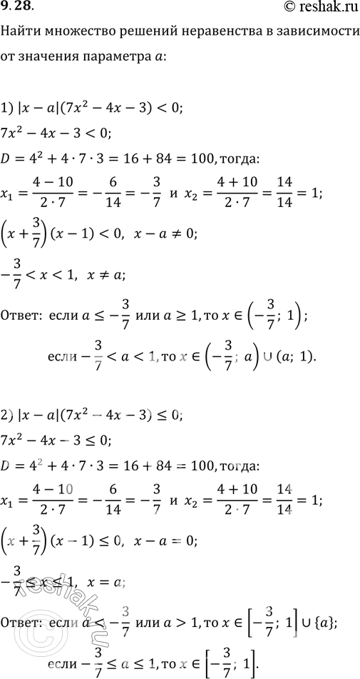
Упр.9.28 ГДЗ Мерзляк Поляков 9 класс (Алгебра)
Решение #1

Рассмотрим вариант решения задания из учебника Мерзляк, Поляков 9 класс, Вентана-Граф:
9.28. Найдите множество решений неравенства в зависимости от значения параметра a:
1) |x-a|(7x^2-4x-3)<0; 2) |x-a|(7x^2-4x-3)?0.
*размещая тексты в комментариях ниже, вы автоматически соглашаетесь с пользовательским соглашением