Упр.904 ГДЗ Мерзляк 8 класс (Алгебра)
Решение #1
Решение #2

Рассмотрим вариант решения задания из учебника Мерзляк, Полонская, Якир 8 класс, Вентана-Граф:
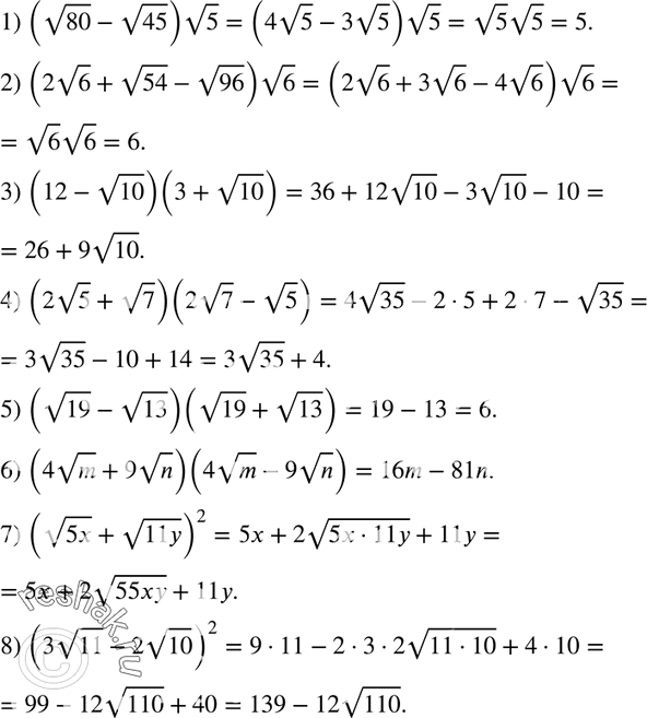
904. Выполните умножение:
1) (корень 80 - корень 45) корень 5;
2) (2 корень 6 + корень 54 - корень 96) корень 6;
3) (12 - корень 10)(3 + корень 10);
4) (2 корень 5 + корень 7)(2 корень 7 - корень 5);
5) (корень 19 - корень 13)(корень 19 + корень 13);
6) (4 корень m + 9 корень n)(4 корень m - 9 корень n);
7) (корень 5x + корень 11y)2;
8) (3 корень 11 - 2 корень 10)2.
*размещая тексты в комментариях ниже, вы автоматически соглашаетесь с пользовательским соглашением