Упр.905 ГДЗ Мерзляк Полонский 7 класс (Алгебра)
Решение #1

Рассмотрим вариант решения задания из учебника Мерзляк, Полонская, Якир 7 класс, Вентана-Граф:
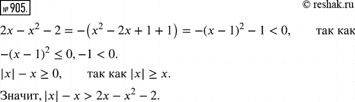
905. Докажите, что при любом значении х значение выражения |х| - х больше соответствующего значения выражения 2х - х2 - 2.
*размещая тексты в комментариях ниже, вы автоматически соглашаетесь с пользовательским соглашением