Упр.906 ГДЗ Колягин Ткачёва 11 класс (Алгебра)
Решение #1
Решение #2

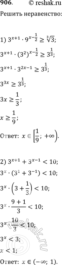
Рассмотрим вариант решения задания из учебника Колягин, Ткачёва, Фёдорова 11 класс, Просвещение:
906 1) 3^x+1 * 9^x-1/2>= корень 3 степени 3;
2) 3^x+1 + 3^x-1<10.
*размещая тексты в комментариях ниже, вы автоматически соглашаетесь с пользовательским соглашением