Упр.91 ГДЗ Колягин Ткачёва 9 класс (Алгебра)
Решение #1

Рассмотрим вариант решения задания из учебника Колягин, Ткачёва, Фёдорова 9 класс, Просвещение:
91. Вычислить:
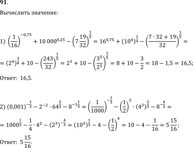
1) (1/16)^(-0,75)+10 000^(0,25)-(7 19/32)^(1/5);
2) (0,001)^(-1/3)-2^(-2)·64^(2/3)-8^(-1 1/3);
3) 27^(2/3)-(-2)^(-2)+(3 3/8)^(-1/3);
4) (-0,5)^(-4)-625-(2 1/4)^(-1 1/2).
*размещая тексты в комментариях ниже, вы автоматически соглашаетесь с пользовательским соглашением