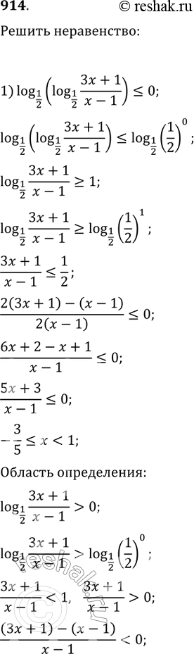
Упр.914 ГДЗ Колягин Ткачёва 11 класс (Алгебра)
Решение #1
Решение #2

Рассмотрим вариант решения задания из учебника Колягин, Ткачёва, Фёдорова 11 класс, Просвещение:
914 1) log1/2(log1/2 3x+1/x-1)<=0;
2) log1/3(log4(x2-5))>0.
*размещая тексты в комментариях ниже, вы автоматически соглашаетесь с пользовательским соглашением