Упр.918 ГДЗ Дорофеев Суворова 7 класс (Алгебра)
Решение #1

Рассмотрим вариант решения задания из учебника Дорофеев, Суворова, Бунимович 10-11 класс, Просвещение:
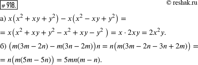
918 Упростите выражение, применяя способ вынесения за скобки общего множителя:
а) x(x2 + ху + у2) - x(x2 - ху + у2);
б) (m(3m - 2п) - m(3n - 2m))n.
*размещая тексты в комментариях ниже, вы автоматически соглашаетесь с пользовательским соглашением