Упр.925 ГДЗ Никольский Потапов 7 класс (Алгебра)
Решение #1

Рассмотрим вариант решения задания из учебника Никольский, Потапов 7 класс, Просвещение:
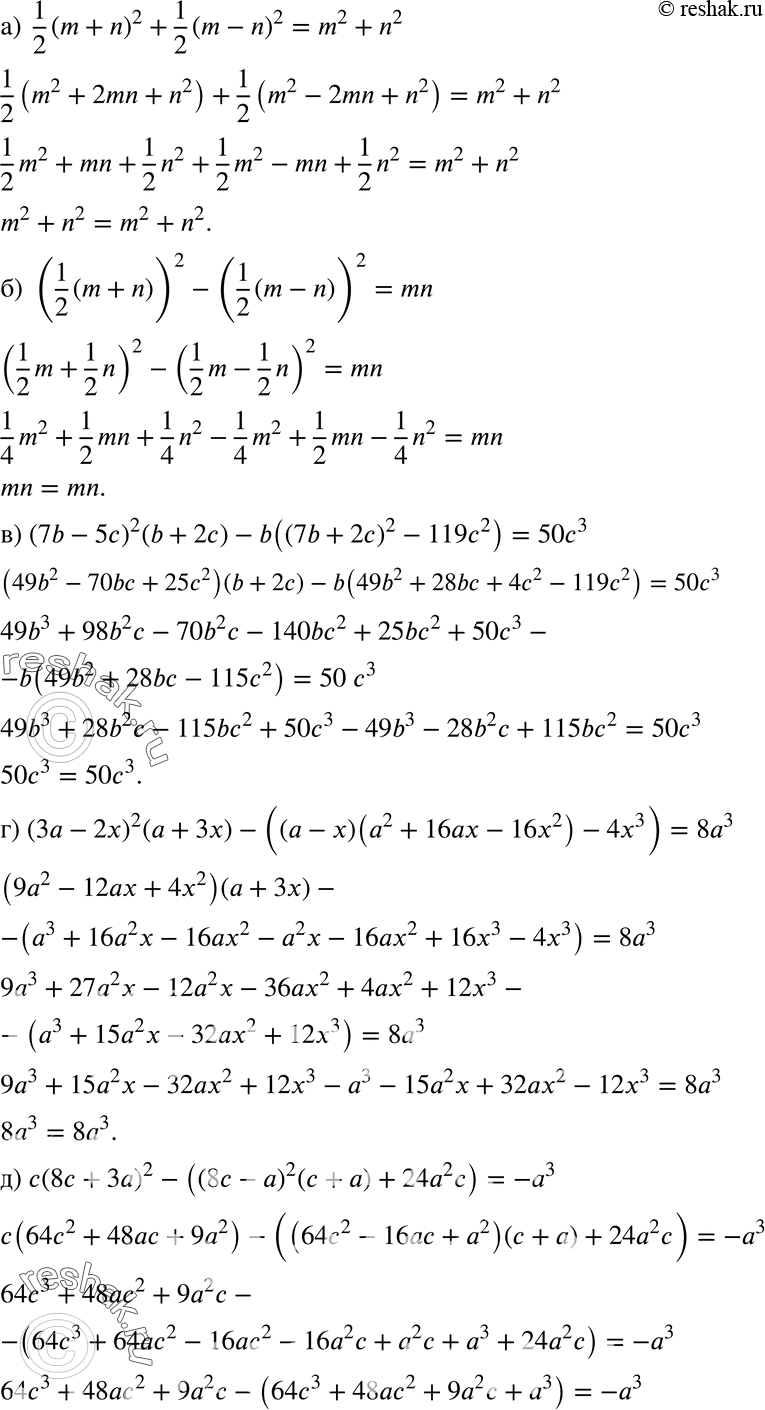
Докажите тождество:
а) 1/2*(m + n)2 + 1/2*(m - n)2 = m2 + n2;
б) 1/2*(m+n)2 - (1/2(m-n))2=mn;
в) (7b - 5с)2(b + 2с) - b((7b + 2с)2 - 119с2) = 50с3;
г) (За - 2x)2 (а + Зх) - ((а - х)(а2 + 16ах - 16x2) - 4x3) = 8а3;
д) с (8с + За)2 - ((8с - а)2 (с + а) + 24а2с) = -а3;
е) (а + b)3 - 3ab(a + b) = а3 + b3;
ж) (x - у)3 + 3ху(х - у) = х3 - у3;
з) (b - с)3 + (с - а)3 + (а - b)3 - 3 (а - b) (b - с) (с - а).
*размещая тексты в комментариях ниже, вы автоматически соглашаетесь с пользовательским соглашением