Упр.928 ГДЗ Мерзляк 8 класс (Алгебра)
Решение #1
Решение #2

Рассмотрим вариант решения задания из учебника Мерзляк, Полонская, Якир 8 класс, Вентана-Граф:
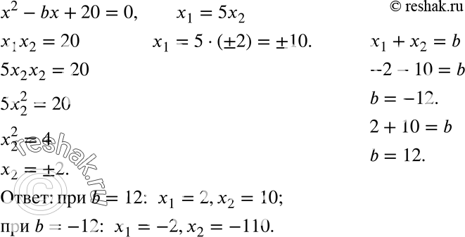
928. Корни x1 и x2 уравнения x^2 - bх + 20 = 0 удовлетворяют условию x1 = 5х2. Найдите значение b и корни уравнения.
*размещая тексты в комментариях ниже, вы автоматически соглашаетесь с пользовательским соглашением