Упр.930 ГДЗ Макарычев Миндюк 9 класс (Углубленный) (Алгебра)
Решение #1

Рассмотрим вариант решения задания из учебника Макарычев, Миндюк, Нешков 9 класс, Просвещение:
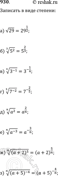
930. Представьте арифметический корень в виде степени с рациональным показателем (a>0, n?N}:
а) v29; в) (3^(-1))^(1/4); д) (a^2)^(1/n); ж) ((a+2)^5)^(1/n);
б) (5^2)^(1/3); г) (7^(-2))^(1/5); е) (a^(-3))^(1/n); з) ((a+5)^(-4))^(1/n).
*размещая тексты в комментариях ниже, вы автоматически соглашаетесь с пользовательским соглашением