Упр.931 ГДЗ Дорофеев Шарыгин 6 класс (Математика)
Решение #1

Рассмотрим вариант решения задания из учебника Дорофеев, Шарыгин, Суворова 6 класс, Просвещение:
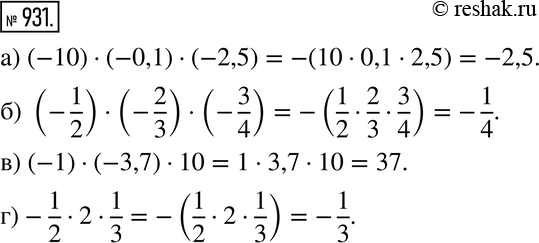
931. Найдите значение произведения:
а) (-10) * (-0,1) * (-2,5);
б) (-1/2) * (-2/3) * (-3/4);
в) (-1) * (-3,7) * 10;
г) -1/2 * 2 * 1/3.
*размещая тексты в комментариях ниже, вы автоматически соглашаетесь с пользовательским соглашением