Упр.935 ГДЗ Никольский Потапов 7 класс (Алгебра)
Решение #1

Рассмотрим вариант решения задания из учебника Никольский, Потапов 7 класс, Просвещение:
Найдите значение выражения (935—936):
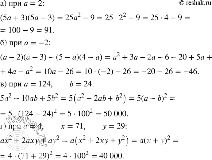
935. а) (5а + 3)(5а - 3) при а = 2;
б) (а - 2)(а + 3) - (5 - а)(4 - а) при а = -2;
в) 5а2 - lOab + 5b2 при а = 124, b = 24;
г) ах2 + 2аху + ау2 при а = 4, х = 71, у = 29.
*размещая тексты в комментариях ниже, вы автоматически соглашаетесь с пользовательским соглашением