Упр.973 ГДЗ Мерзляк 9 класс (Алгебра)
Решение #1
Решение #2

Рассмотрим вариант решения задания из учебника Мерзляк, Полонская, Якир 9 класс, Вентана-Граф:
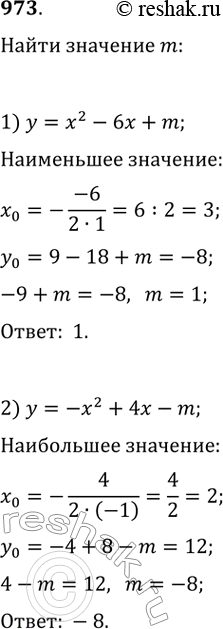
973. При каком значении m:
1) наименьшее значение функции у = х^2 - 6х + m равно -8;
2) наибольшее значение функции у = -х^2 + 4х - m равно 12?
*размещая тексты в комментариях ниже, вы автоматически соглашаетесь с пользовательским соглашением