Упр.98 ГДЗ Колягин Ткачёва 11 класс (Алгебра)
Решение #1
Решение #2

Рассмотрим вариант решения задания из учебника Колягин, Ткачёва, Фёдорова 11 класс, Просвещение:
Решить уравнение (98—100).
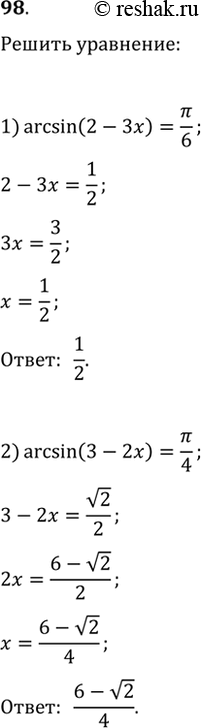
98. 1) arsin(2-3x) = пи/6;
2) arsin(3-2x) = пи/4;
3) arsin x-2/4 = пи/4;
4) arsin x+3/2 = -пи/3.
*размещая тексты в комментариях ниже, вы автоматически соглашаетесь с пользовательским соглашением