Проверь себя Глава 7 ГДЗ Колягин Ткачёва 11 класс (Алгебра)
Решение #1
Решение #2

Рассмотрим вариант решения задания из учебника Колягин, Ткачёва, Фёдорова 11 класс, Просвещение:
1. Выполнить действия:
1) (3 + i) + (5 - 2i);
2) (6 - i) - (2 + 3i);
3) (7 + i) (10-i);
4) 5-2i/7+3i.
2. Вычислить:
1) 2+5i/2-5i + 2-5i/2+5i;
2) (1+i11/2-i7)2.
3. Записать в тригонометрической форме комплексное число:
1) -1 + i корень 3;
2) sin пи/5 - icos пи/5.
4. Решить уравнение:
1) z2 + 5 = 0;
2) z2 - 10z + 34 = 0.
5. Найти множество точек комплексной плоскости, удовлетворяющих условию |z| = 3.
6. Записать в алгебраической форме комплексное число:
z = корень 2/2 (cos пи/4 + isin пи/4).
7. Выполнить действия:
1) (cos 18° + isin 18°)(cos 42° + isin 42°);
2) 9(cos 7пи/3 + isin 7пи/3)/ 18(cos 4пи/3 + isin 4пи//3);
3) корень 5 (cos пи/8 + isin пи/8))4.
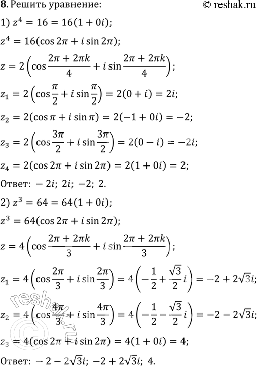
8. На множестве комплексных чисел решить уравнение:
1) z4= 16;
2) z3 = 64.
*размещая тексты в комментариях ниже, вы автоматически соглашаетесь с пользовательским соглашением