Упр.1111 ГДЗ Макарычев 7 класс (Алгебра)
Решение #1

Рассмотрим вариант решения задания из учебника Макарычев, Миндюк 7 класс, Просвещение:
Найдите решение системы уравнений:
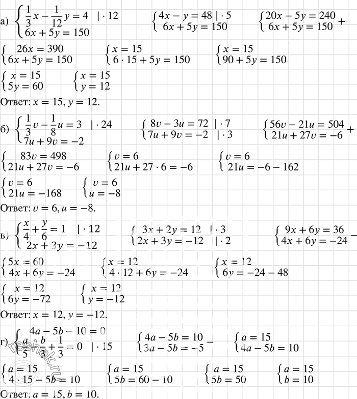
а) система
1x/3 - 1y/12=4,
6x+5y=150;
б) система
1v/3-1u/8=3,
7u+9v=-2;
в) система
x/4+y/6=1,
2x+3y=-12;
г) система
4a-5b-10=0,
a/5-b/3+1/3=0.
Популярные решебники 7 класс Все решебники
*размещая тексты в комментариях ниже, вы автоматически соглашаетесь с пользовательским соглашением