Упр.30.10 ГДЗ Мордкович 7 класс (Алгебра)
Решение #1

Рассмотрим вариант решения задания из учебника Мордкович, Александрова 7 класс, Мнемозина:
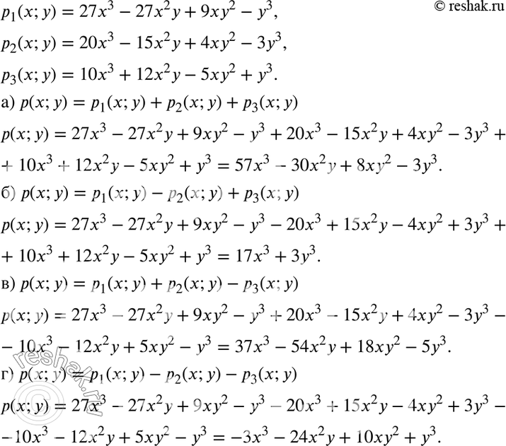
Даны три многочлена: р1(х; у) = 27x3 - 27х2у + 9ху2 - у3,
p2(х;y) = 20x3 - 15x2у + 4ху2 - 3у3,
р3(х; у) = 10x3 + 12х2у - 5ху2 + у3.
Найдите:
а) р(х; у) = р1(х; у) + р2(х; у) + р3(х; у);
б) р(х; у) = р1(х; у) - р2(х; у) + р3(x; у);
в) р(х; у) = р1(х; у) + р2(x; у) - р3(х; у);
г) р(х; у) = р1(х; у) - р2(х; у) - р3(х; у).
*размещая тексты в комментариях ниже, вы автоматически соглашаетесь с пользовательским соглашением