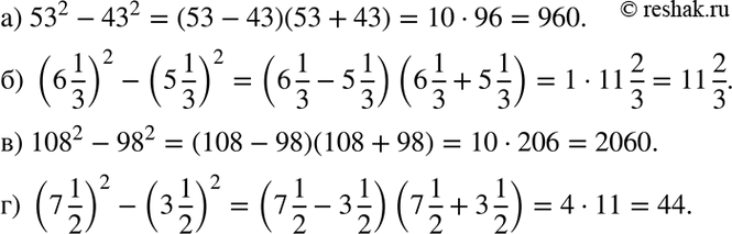
Упр.36.11 ГДЗ Мордкович 7 класс (Алгебра)
Решение #1
Решение #2

Рассмотрим вариант решения задания из учебника Мордкович, Александрова 7 класс, Мнемозина:
а) 53^3 - 43^2;
б) (6*1/3)2 - (5*1/3)2;
в) 108^2 - 98^2;
г) (7*1/2)2-(3*1/2)2.
*размещая тексты в комментариях ниже, вы автоматически соглашаетесь с пользовательским соглашением