Упр.37.3 ГДЗ Мордкович 7 класс (Алгебра)
Решение #1

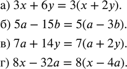
Рассмотрим вариант решения задания из учебника Мордкович, Александрова 7 класс, Мнемозина:
а) 3х + 6у; б) 5а - 15b; в) 7а + 14у; г) 8х - 32а.
*размещая тексты в комментариях ниже, вы автоматически соглашаетесь с пользовательским соглашением