Упр.40.14 ГДЗ Мордкович 7 класс (Алгебра)
Решение #1

Рассмотрим вариант решения задания из учебника Мордкович, Александрова 7 класс, Мнемозина:
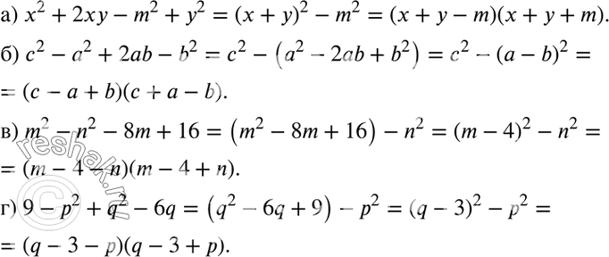
а) x2 + 2ху - m2+ у2;
б) с2 - а2 + 2аb - b2;
в) m2 - n2 - 8m + 16;
г) 9 -р2 + q2 - 6q.
*размещая тексты в комментариях ниже, вы автоматически соглашаетесь с пользовательским соглашением