Упр.40.24 ГДЗ Мордкович 7 класс (Алгебра)
Решение #1

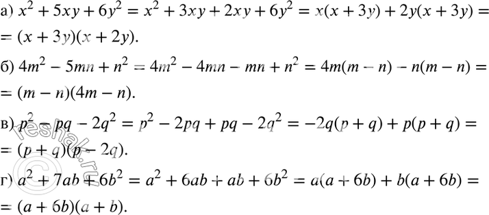
Рассмотрим вариант решения задания из учебника Мордкович, Александрова 7 класс, Мнемозина:
а) х2 + 5ху + 6у2;
б) 4m2 - 5mn + n2;
в) р2 - pq - 2q2;
г) а2+ 7аb + 6b2.
*размещая тексты в комментариях ниже, вы автоматически соглашаетесь с пользовательским соглашением