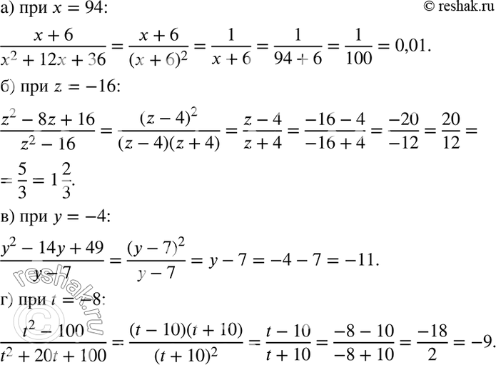
Упр.41.28 ГДЗ Мордкович 7 класс (Алгебра) Решение #1 Рассмотрим вариант решения задания из учебника Мордкович, Александрова 7 класс, Мнемозина: *Цитирирование задания со ссылкой на учебник производится исключительно в учебных целях для лучшего понимания разбора решения задания. 7 mordkovich7 41-28 « Предыдущее Следующее » *размещая тексты в комментариях ниже, вы автоматически соглашаетесь с пользовательским соглашением Похожие решебники Мордкович Мордкович, Семенов, Александрова Популярные решебники 7 класс Все решебники Forward Вербицкая, Гаярделли, Редли Атанасян Рабочая тетрадь Атанасян, Бутузов Перышкин Перышкин, Иванов Климанова Климанова, Климанов, Ким Александрова Александрова, Загоровская, Богданов Enjoy English Биболетова, Бабушис