№1005 ГДЗ Атанасян 7-9 класс по геометрии (Геометрия)
Решение #1
Рассмотрим вариант решения задания из учебника Атанасян, Бутузов 9 класс, Просвещение:
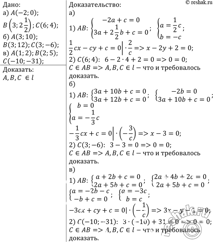
Докажите, что точки А, В и С лежат на одной прямой, если: а) А (-2; 0), В (3; 3/2), С (6; 4); б) А (3; 10), В (3; 12), С (3; -6); в) А (1; 2), В (2; 5), С (-10; -31).
*размещая тексты в комментариях ниже, вы автоматически соглашаетесь с пользовательским соглашением