№1018 ГДЗ Атанасян 7-9 класс по геометрии (Геометрия)

Решение #1

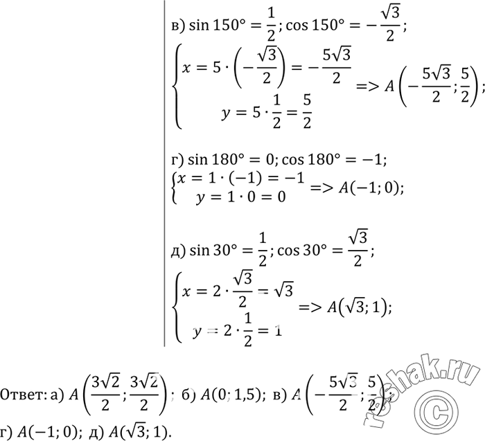
Изображение Угол между лучом ОА, пересекающим единичную полуокружность, и положительной полуосью Ох равен а. Найдите координаты точки А, если: а) ОА = 3, a = 45°; б) ОА = 1,5, a =...
Дополнительное изображение

Рассмотрим вариант решения задания из учебника Атанасян, Бутузов 9 класс, Просвещение:
Угол между лучом ОА, пересекающим единичную полуокружность, и положительной полуосью Ох равен а. Найдите координаты точки А, если: а) ОА = 3, a = 45°; б) ОА = 1,5, a = 90°; в) ОА = 5, a =150°; г) ОА = 1, а= 180°; д) ОА = 2, а = 30°.
*Цитирирование задания со ссылкой на учебник производится исключительно в учебных целях для лучшего понимания разбора решения задания.
*размещая тексты в комментариях ниже, вы автоматически соглашаетесь с пользовательским соглашением