№1094 ГДЗ Атанасян 7-9 класс по геометрии (Геометрия)

Решение #1

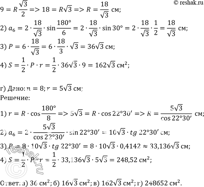
Изображение Найдите площадь S правильного га-угольника, если: а) n = 4, R = 3корень2 см; б) n= 3, Р = 24 см; в) n = 6,r=9см; г) n = 8, г = 5корень3...
Дополнительное изображение

Рассмотрим вариант решения задания из учебника Атанасян, Бутузов 9 класс, Просвещение:
Найдите площадь S правильного га-угольника, если: а) n = 4, R = 3корень2 см; б) n= 3, Р = 24 см; в) n = 6,r=9см; г) n = 8, г = 5корень3 см.
*Цитирирование задания со ссылкой на учебник производится исключительно в учебных целях для лучшего понимания разбора решения задания.
*размещая тексты в комментариях ниже, вы автоматически соглашаетесь с пользовательским соглашением