№1264 ГДЗ Атанасян 7-9 класс по геометрии (Геометрия)

Решение #1

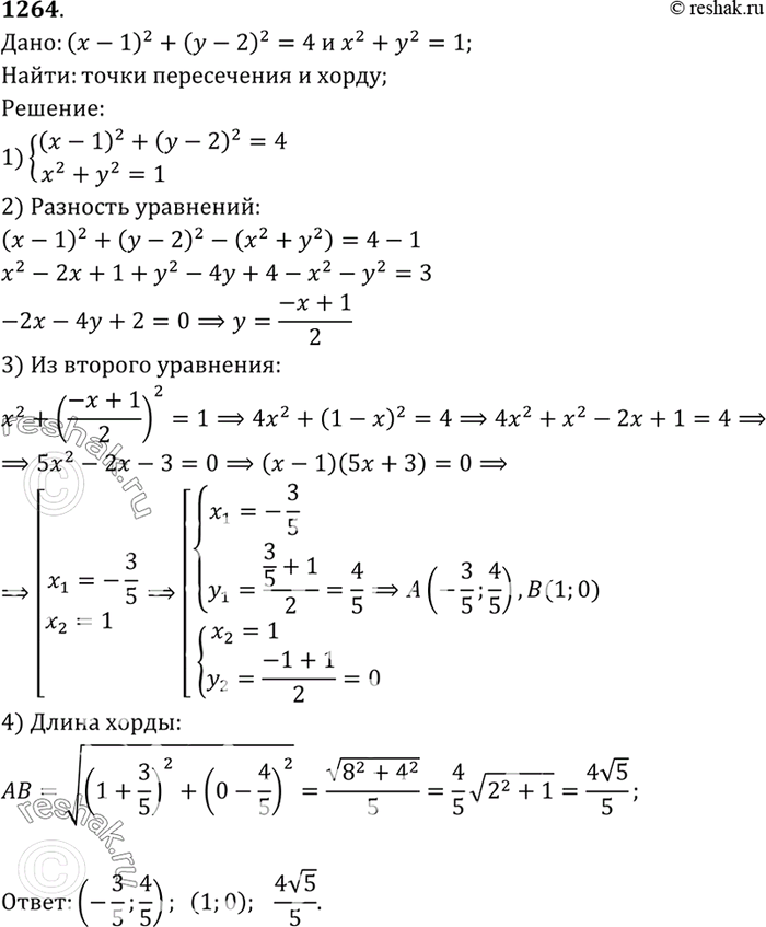
Изображение Найдите точки пересечения двух окружностей, заданных уравнениями (х - 1)2 + (у - 2)2 = 4 и х2 + у2= 1, и вычислите длину их общей...

Рассмотрим вариант решения задания из учебника Атанасян, Бутузов 9 класс, Просвещение:
Найдите точки пересечения двух окружностей, заданных уравнениями (х - 1)2 + (у - 2)2 = 4 и х2 + у2= 1, и вычислите длину их общей хорды.
*Цитирирование задания со ссылкой на учебник производится исключительно в учебных целях для лучшего понимания разбора решения задания.
*размещая тексты в комментариях ниже, вы автоматически соглашаетесь с пользовательским соглашением