№572 ГДЗ Атанасян 7-9 класс по геометрии (Геометрия)

Решение #1

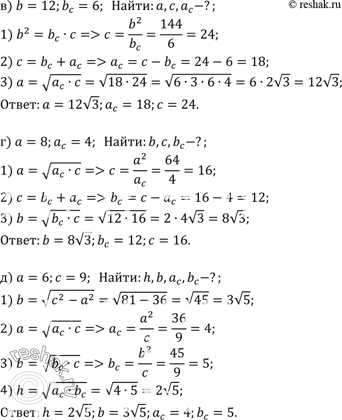
Изображение Найдите: а) h, а и b, если bс = 25, ас = 16; б) h, а и b, если bс = 36, ас = 64; в) а, с и ас, если b=12, bс = 6; г) b, с и bс, если а= 8, ас = 4; д) h, b, ас и bс, если...
Дополнительное изображение

Рассмотрим вариант решения задания из учебника Атанасян, Бутузов 8 класс, Просвещение:
Найдите: а) h, а и b, если bс = 25, ас = 16; б) h, а и b, если bс = 36, ас = 64; в) а, с и ас, если b=12, bс = 6; г) b, с и bс, если а= 8, ас = 4; д) h, b, ас и bс, если а = 6, с = 9.
*Цитирирование задания со ссылкой на учебник производится исключительно в учебных целях для лучшего понимания разбора решения задания.
*размещая тексты в комментариях ниже, вы автоматически соглашаетесь с пользовательским соглашением