№781 ГДЗ Атанасян 7-9 класс по геометрии (Геометрия)

Решение #1

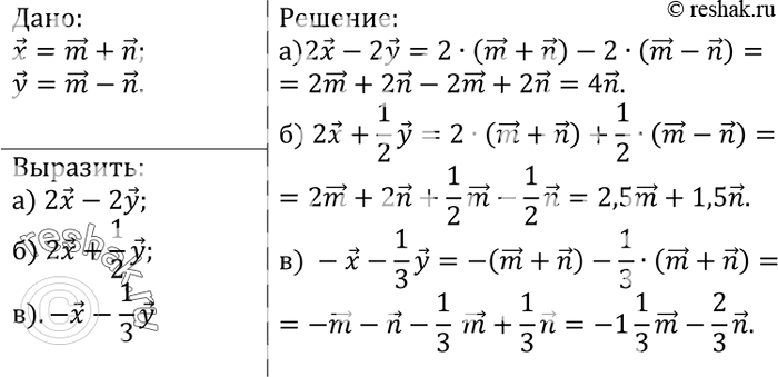
Изображение Пусть х = m + n, у = m-n. Выразите через m и n векторы: a)2х-2у; 6) 2х + 1/2у;...

Рассмотрим вариант решения задания из учебника Атанасян, Бутузов 9 класс, Просвещение:
Пусть х = m + n, у = m-n. Выразите через m и n векторы: a)2х-2у; 6) 2х + 1/2у; в)-х-1/3у.
*Цитирирование задания со ссылкой на учебник производится исключительно в учебных целях для лучшего понимания разбора решения задания.
*размещая тексты в комментариях ниже, вы автоматически соглашаетесь с пользовательским соглашением