Упр.1684 ГДЗ Лукашик 7-9 класс по физике (Физика)
Решение #1

Рассмотрим вариант решения задания из учебника Лукашик, Иванова 9 класс, Просвещение:
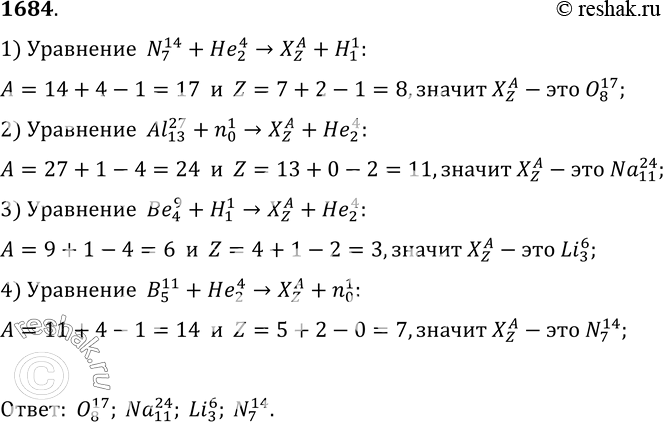
1684. Определите неизвестный продукт X каждой из ядерных реакций:
N + He — X + H
AI + n —X + He Be + H —X + He
В + Н —X + n
*размещая тексты в комментариях ниже, вы автоматически соглашаетесь с пользовательским соглашением