Упр.103 ГДЗ Алимов 10-11 класс (Алгебра)
Решение #1
Решение #2

Рассмотрим вариант решения задания из учебника Алимов, Колягин, Ткачёва 10 класс, Просвещение:
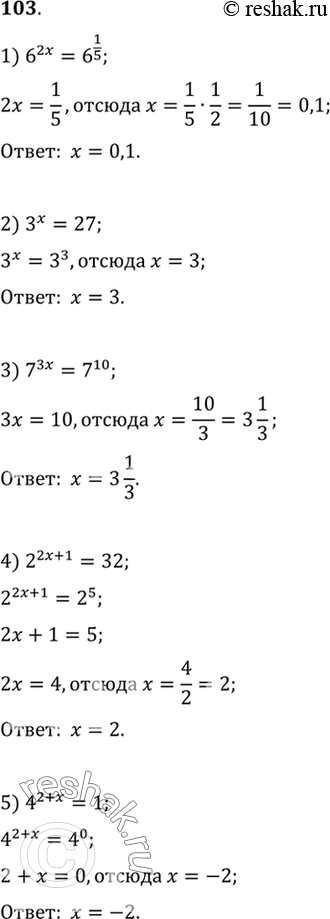
103. Решить уравнение:
1) 6^2x = 6^1/5;
2) 3x=27;
3) 7^3x = 7^10;
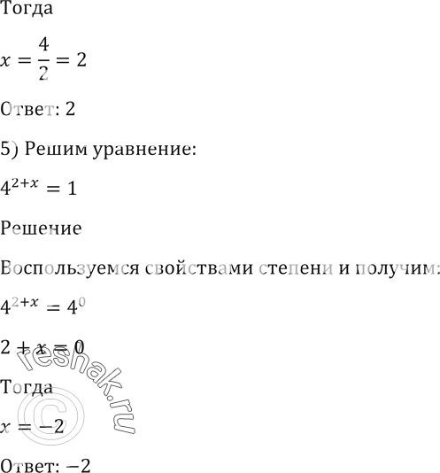
4) 2^(2x+1) = 32;
5) 4^(2+x) = 1.
*размещая тексты в комментариях ниже, вы автоматически соглашаетесь с пользовательским соглашением