Упр.1077 ГДЗ Алимов 10-11 класс (Алгебра)
Решение #1
Решение #2

Рассмотрим вариант решения задания из учебника Алимов, Колягин, Ткачёва 11 класс, Просвещение:
1077 Решить относительно т уравнение:
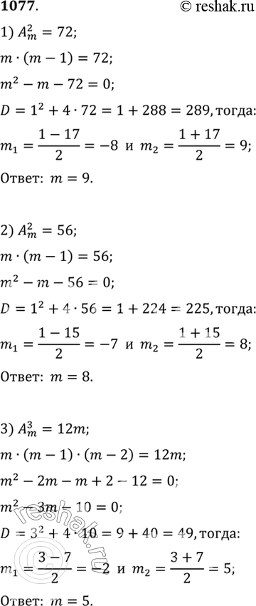
1) А 2/m = 72;
2) А 2/m = 56;
3) А 3/m = 12m;
4) А 3/m = 20m;
5) А 2/(m+1) = 110;
6) А 3/m = 90;
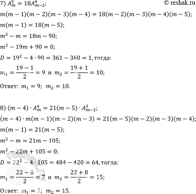
7) А 5/m = 18 А 4/(m - 2);
8) (m - 4) * А 4/m = 21 (m - 5) * А 3/(m-2)
*размещая тексты в комментариях ниже, вы автоматически соглашаетесь с пользовательским соглашением