Упр.1092 ГДЗ Алимов 10-11 класс (Алгебра)
Решение #1
Решение #2

Рассмотрим вариант решения задания из учебника Алимов, Колягин, Ткачёва 11 класс, Просвещение:
1092 Записать разложение бинома:
1) (1+x)8;
2) (x+1)7;
3) (a-1)9;
4) (y-1)10;
5) (2x+1)5;
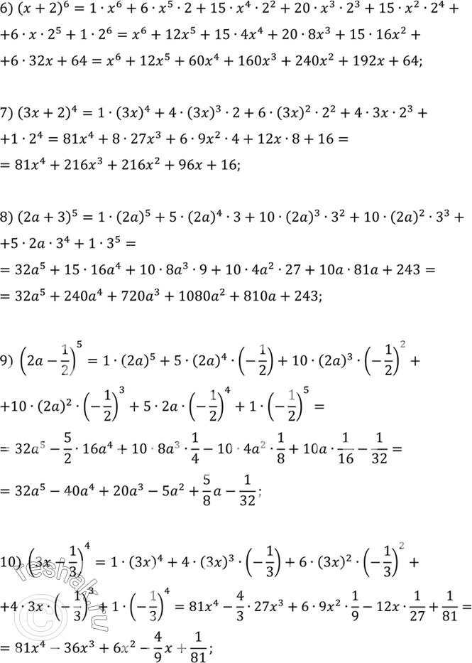
6) (x+2)6;
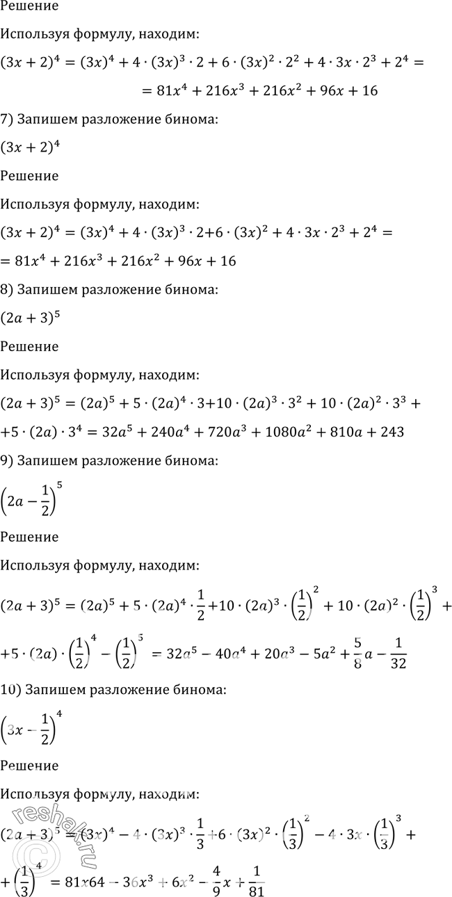
7) (3x+2)4;
8) (2a+3)5;
9) (2a - 1/2)5;
10) (3x - 1/3)4.
*размещая тексты в комментариях ниже, вы автоматически соглашаетесь с пользовательским соглашением