Упр.1274 ГДЗ Алимов 10-11 класс (Алгебра)
Решение #1
Решение #2

Рассмотрим вариант решения задания из учебника Алимов, Колягин, Ткачёва 11 класс, Просвещение:
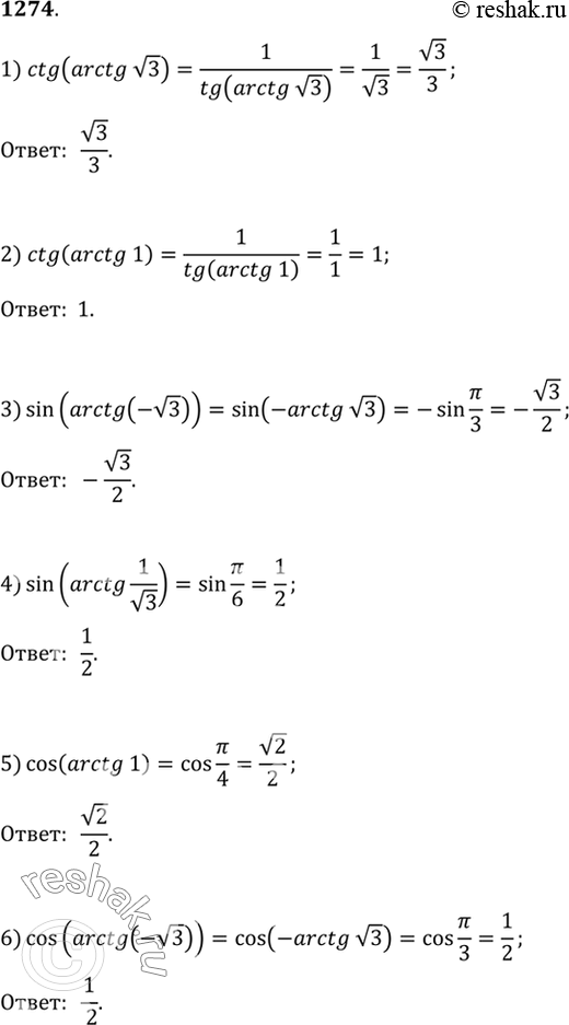
1274 1) ctg (arctg корень 3);
2) ctg (arctg 1);
3) sin (arctg(- корень 3));
4) sin(arctg 1/корень3);
5) cos (arctg 1);
6) cos (arctg (-корень 3)).
*размещая тексты в комментариях ниже, вы автоматически соглашаетесь с пользовательским соглашением