Упр.128 ГДЗ Алимов 10-11 класс (Алгебра)
Решение #1
Решение #2

Рассмотрим вариант решения задания из учебника Алимов, Колягин, Ткачёва 10 класс, Просвещение:
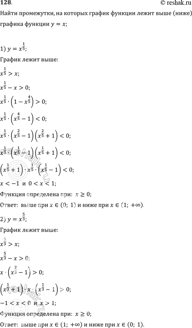
128. Пользуясь рисунком 13 (с. 45), найти промежутки, на которых график функции: 1) у = х1/5; 2) у = х5/3 — лежит выше (ниже) графика функции у = х.
*размещая тексты в комментариях ниже, вы автоматически соглашаетесь с пользовательским соглашением