Упр.1345 ГДЗ Алимов 10-11 класс (Алгебра)
Решение #1
Решение #2

Рассмотрим вариант решения задания из учебника Алимов, Колягин, Ткачёва 11 класс, Просвещение:
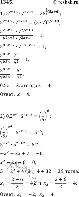
1345 1)5^(2x+5) * 7^(3x+1) = 35^1/2)5x+6);
2) 0,2x2 * 5^(2x+2) = (1/5)6.
*размещая тексты в комментариях ниже, вы автоматически соглашаетесь с пользовательским соглашением