Упр.151 ГДЗ Алимов 10-11 класс (Алгебра)
Решение #1
Решение #2

Рассмотрим вариант решения задания из учебника Алимов, Колягин, Ткачёва 10 класс, Просвещение:
151 (Устно.) Решить уравнение:
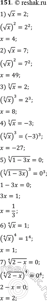
1) корень x =2;
2) корень x =7;
3) корень 3 степени x = 2;
4) корень 3 степени x = -3;
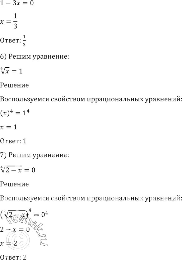
5) корень 3 степени (1-3x) = 0;
6) корень 4 степени x = 1;
7) корень 4 степени (2-x) = 0.
*размещая тексты в комментариях ниже, вы автоматически соглашаетесь с пользовательским соглашением