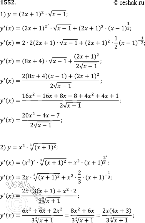
Упр.1552 ГДЗ Алимов 10-11 класс (Алгебра)
Решение #1
Решение #2

Рассмотрим вариант решения задания из учебника Алимов, Колягин, Ткачёва 11 класс, Просвещение:
1552 1) y=(2x+1)2 корень (x-1);
2) y=x2 корень 3 степени (x+1)2.
*размещая тексты в комментариях ниже, вы автоматически соглашаетесь с пользовательским соглашением